|

Mathematics
Reference Sheets
Grades 6-8
FCAT mathematics Reference Sheet
|
|
Area |
|
KEY
|
| b
= base
h
= height
l
= length
w
= width
S.A.
= Surface area
|
d=
diameter
r
= radius
A
= area
C
= circumference
V
= volume
|
|
|
Use
3.14 or 22/7 for p
|
|
|

|
Triangle
|
A = 1/2 bh
|
|

|
Rectangle
|
A = lw
|
|

|
Trapezoid
|
A = 1/2 h(b1
+ b2)
|
|

|
Parallelogram
|
A = bh
|
Circumference
C = pd
= 2pr
|
 |
Circle |
A = pr2 |
| In a polygon, the
sum of the measures of the interior angles is equal to 180(n
- 2), where n represents the number of sides.
|
|
Pythagorean
theorem: c2 = a2 + b2

|
|
|
Volume |
Total
Surface Area
|
|

|
Right Circular
Cylinder |
V = pr2h |
S.A. =
2prh + 2pr2 |
| |
|
|
|
 |
Rectangular
Solid |
V = lwh |
S.A. =
2(lw) + 2(hw) + 2(lh) |
|
Conversions
|
1
yard = 3 feet = 36 inches
1 mile = 1,760 yards = 5,280 feet
1 acre = 43,560 square feet
1 hour = 60 minutes
1 minute = 60 seconds
|
1
cup = 8 fluid ounces
1 pint = 2 cups
1 quart = 2 pints
1 gallon = 4 quarts |
1 liter =
1000 milliliters = 1000 cubic centimeters
1 meter = 100 centimeters = 1000 millimeters
1 kilometer = 1000 meters
1 gram = 1000 milligrams
1 kilogram = 1000 grams
|
1 pound =
16 ounces
1 ton = 2,000 pounds |
| Metric numbers
with four digits are represented without a comma (e.g., 9960 kilometers).
For metric number greater than four digits, a space is used instead
of a comma (e.g., 12 500 liters). |
Grades 9-10
FCAT mathematics Reference Sheet
|
|
Area |
|
KEY
|
| b
= base
h
= height
l
= length
w
= width
= slant height
S.A.
= Surface area
|
d=
diameter
r
= radius
A
= area
C
= circumference
V
= volume
|
|
|
Use
3.14 or 22/7 for p
|
|
|

|
Triangle
|
A = 1/2 bh
|
|

|
Rectangle
|
A = lw
|
|

|
Trapezoid
|
A = 1/2 h(b1
+ b2)
|
|

|
Parallelogram
|
A = bh
|
Circumference
C = pd
= 2pr
|
 |
Circle |
A = pr2 |
|
|
Volume |
Total
Surface Area
|
|

|
Right Circular Cone
|
V = 1/3 pr2h
|
S.A. = 1/2 (2pr)
+ pr2 = pr
+ pr2
|
|

|
Square Pyramid |
V = 1/3
lwh |
S.A. =
4(1/2 l ) + l2
= 2l + l2 |
| |
|
|
|
|

|
Sphere |
V = 4/3
pr3 |
S.A. =
4pr2 |
| |
|
|
|
|

|
Right Circular
Cylinder |
V = pr2h |
S.A. =
2prh + 2pr2 |
| |
|
|
|
 |
Rectangular
Solid |
V = lwh |
S.A. =
2(lw) + 2(hw) + 2(lh) |
|
In the following formulas,
n represents the number of sides.
In a polygon, the sum
of the measures of the interior angles is equal to 180(n
- 2).
In a regular polygon,
the measure of an interior angle is equal to [180(n - 2)]
/ n.
|
|
Pythagorean
theorem: c2 = a2 + b2

|
Distance between two
points P1(x1,y1) and P2
(x2,y2):

|
|
y =
mx + b
Slope-intercept form
of an equation of a line, where m = slope and b =
the y-intercept:
|
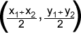
Midpoint
between two points P1(x1,y1) and
P2 (x2,y2):

|
|
d =
rt
Distance, rate, time
formula, where d = distance, r = rate, t =
time.
|
I =
prt
Simple interest formula,
where p = principal, r = rate, t = time.
|
|
Conversions
|
1
yard = 3 feet = 36 inches
1 mile = 1,760 yards = 5,280 feet
1 acre = 43,560 square feet
1 hour = 60 minutes
1 minute = 60 seconds
|
1
cup = 8 fluid ounces
1 pint = 2 cups
1 quart = 2 pints
1 gallon = 4 quarts |
1 liter =
1000 milliliters = 1000 cubic centimeters
1 meter = 100 centimeters = 1000 millimeters
1 kilometer = 1000 meters
1 gram = 1000 milligrams
1 kilogram = 1000 grams
|
1 pound =
16 ounces
1 ton = 2,000 pounds |
| Metric numbers
with four digits are represented without a comma (e.g., 9960 kilometers).
For metric number greater than four digits, a space is used instead
of a comma (e.g., 12 500 liters). |
| FCAT MATH
REFERENCE SHEET |
Name
______________________
|
DIRECTIONS: Refer
to your FCAT Mathematics Reference Sheet to answer each of the following.
- Make a drawing of a trapezoid.
- Write the formula for the
volume of a sphere. ______________
What is the volume of a sphere with a radius of 3 inches? _________________
- Write the formula for the total surface area _____________________
and the volume ________________________ of a right circular cylinder.
Use the correct formula to find how many ounces of broth could be held
in a cylinder that has a radius of 2 inches and a height of 7 inches
if every cubic inch of volume contains one-fourth ounce of broth. Round
your answer to the nearest whole number.)
- Find the circumference of a circle with a radius of 14 cm. Use the
fractional value for pi (p) that
is given on your reference sheet.
- What is the sum of the interior angles of a regular pentagon? (5 sides)
- If the equation of a given line is y =
x
+ 2, what is the slope of the line, and what is its
y-intercept? Slope _____ y-intercept _____
- Write out the Pythagorean Theorem . _______________ The hypotenuse
is represented by the letter ____ and the two legs are represented by
the letters ____ and ____ . Find the length of the hypotenuse of an
isosceles right triangle with legs of 5 units. Round your answer to
the nearest hundredth or give the exact square root answer. _________
- Write the formula for the distance between two points. _____________________
Use this formula to find the distance between the points (-1, -1) and
(3, 3). ________
- Write the formula for simple interest. _________________
Find the simple interest on a loan of $300 for 8 months at 6% annual
interest.
- Write the distance, rate, time formula. ________________
Using this formula, how long does it take you to drive 780 miles at
65 mph? ______
- Write the formula for the midpoint between two points. ___________________
Find the coordinates of the midpoint between the points (8, -3) and
(-2. 11). ______
- How many inches are in a yard? _____ How many in
yard? _____
- There are _____ feet in a mile. What part of a mile is 1320 feet?
_____
- How many cups are in one gallon? _________
- How many ounces are in one quart? _________
Find the area of each figure.
Find the volume of each figure.
19.  |
20.
 |
Used by permission
of Cheryl Greenfield, Gibbs high School, 2002.
Copyright Statement
for this Assessment and Evaluation Services Publication
Authorization
for reproduction of this document is hereby granted to persons acting
in an official capacity within the State System of Public Education as
defined in Section 228.041(1), Florida Statutes. The copyright notice
at the bottom of this page must be included in all copies.
The
Administrator
Assessment and Evaluation Services
Florida Department of Education
Turlington Building, Room 414
325 West Gaines Street
Tallahassee, Florida 32399-0400
Copyright
© 2000
State of Florida
Department of State
|